搜索
网站首页
乐发500概况
乐发500简介
协会章程
组织架构
协会大事记
新闻资讯
本地资讯
行业资讯
媒体报道
通知公告
会员名录
会长单位
常务副会长单位
副会长单位
监事长单位
常务理事单位
理事单位
会员单位
我要入会
会员风采
考试培训
法律法规
政策法规
规范性文件
资质评定
联系我们
通知公告
您现在的位置:
首页
-
通知公告
通知公告
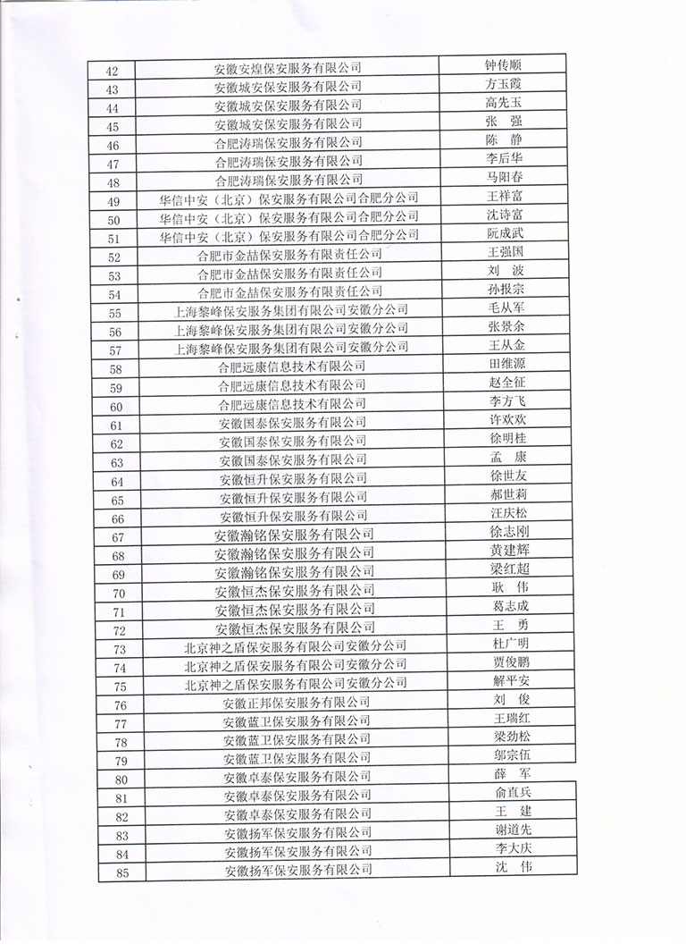
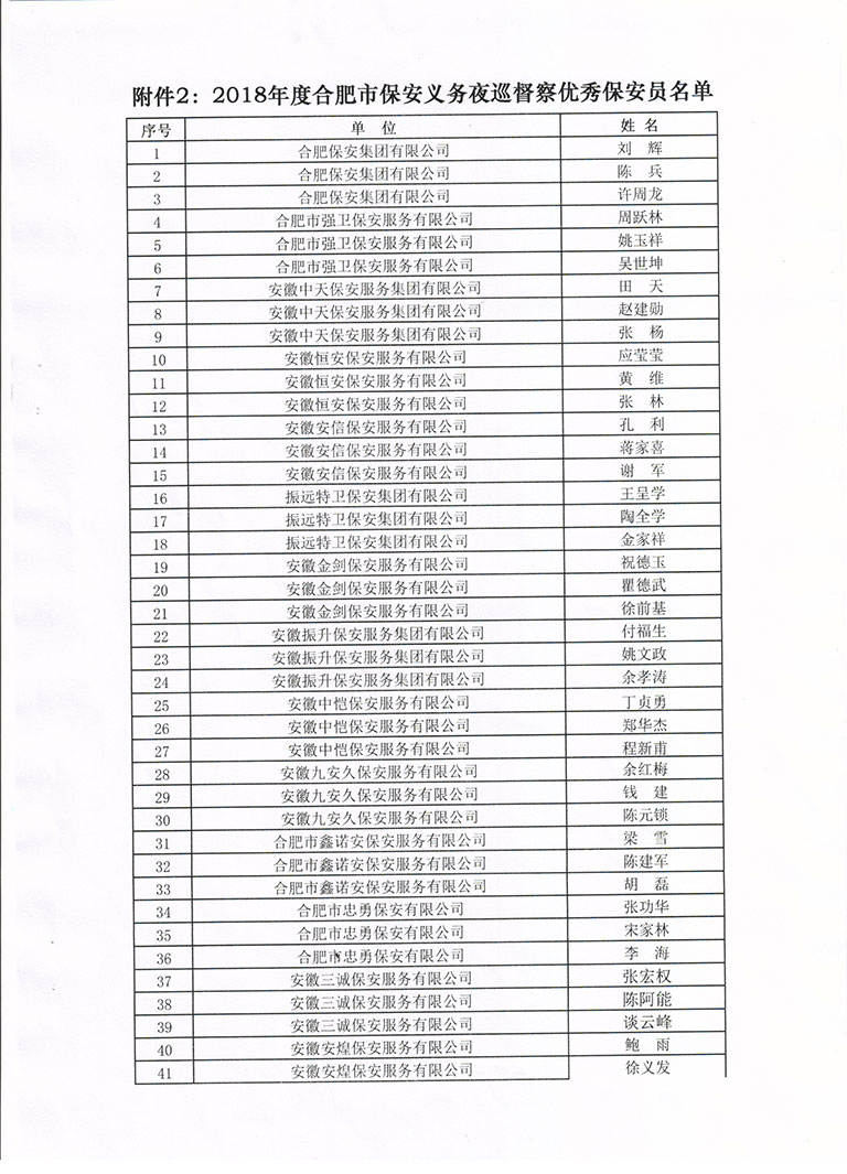
关于对2018年度合肥市保安义务夜巡督察先进单位和优秀个人表彰的决定
发布时间:2019-07-11
阅读次数: 次
分享到:
上一篇:
关于动员乐发500会员单位成立工会组织的通知
下一篇:
中标保险乐发500介绍(4)